<<   |  Home  |  >>
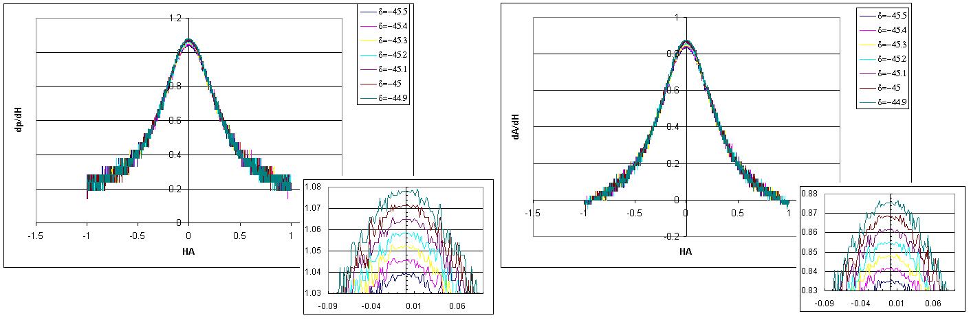
Azimuth and rotator speed in [°/min] for a declination of -45°